设为首页
加入收藏
例1 判断下列物质是否是氨基酸,单分子结合成的物质叫( )

答案:二肽
解析:本题考查的知识点是蛋白质的基本组成单位——氨基酸的结构特点以及氨基酸缩合。根据氨基酸的结构通式的特点,至少有一个氨基和一个羧基连在同一个碳原子上,可以判断只有(1)和(2)属于氨基酸,单分子的(1)和(2)缩合而成的化合物是二肽。
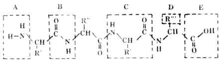
例2 根据下面图解,回答问题:

(1)该图中,A表示 ,B表示 ,C表示 。
(2)该图所示化合物的名称是: ;该化合物含有 个肽键。
(3)该化合物由 个氨基酸分子失去 个水分子而形成,这种反应叫 反应。
(4)该图中所示的氨基酸种类不同,是由 决定的。
(5)如果图中氨基酸的平均分子量为180,则该化合物的分子量是 。
答案:
(1)氨基;肽键;羧基。
(2)三肽;两。
(3)三;两;缩合。
(4)R集团(或自由基)。
(5)504.
解析:本题考查的知识点是蛋白质的基本组成单位氨基酸以及多肽的形成过程。从图中可以看出,这是一个由三个氨基酸缩合而成的三肽化合物,由此可以推知其它相关的问题的答案。
例3 用高温、酒精、紫外线或电离辐射处理细菌,可以使蛋白质分子结构中大量氢键断裂,导致分子结构紊乱,从而达到灭菌目的。
(1)蛋白质结构紊乱,则细菌失去活性,说明 。
(2)试从蛋白质、原生质、细胞三者关系上,分析说明细菌死亡的原因是 。
答案:(1)蛋白质是一切生命活动的体现者。
(2)蛋白质是原生质的主要成分之一,原生质是活细胞内生命物质,蛋白质结构紊乱导致原生质丧失活性,细胞则死亡。
解析:本题综合考查“蛋白质的功能”、“原生质”、“蛋白质、原生质、细胞三者关系”等知识点。蛋白质分子在高温、酒精、紫外线或电离辐射处理下,分子结构紊乱,导致细菌死亡,说明蛋白质是细胞生命活动的体现者;原生质是活细胞内的生命活动物质,原生质分化成细胞膜、细胞质、细胞核等结构,细胞是具有结构分化的原生质的具体体现,而原生质的主要成分是蛋白质和核酸,所以蛋白质结构紊乱必然导致原生质丧失活性,细胞死亡,从而达到灭菌目的。