设为首页
加入收藏
典型例题
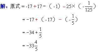
例1 计算:-17+17÷(-1)17-52×(-0.2)3
分析:此算式以加、减分段, 应分为三段:-17, 17÷(-1)17, 52×(-0.2)3.这
说明:做有理数混合运算时,如果算式中不含有中括号、大括号,那么计算时一般用“加”、“减”号分段,使每段只含二、三级运算,这样各段可同时进行计算,有利于提高计算的速度和正确率.
例2
分析:此题运算顺序是:
除法.
说明:由此例题可以看出,括号在确定运算顺序上的作用,所以计算题也需认真审题.
例3 计算:31999-5×|-3|1998+6×31997+1999×(-1)1999
分析:要求31999、31998、31997的值,用笔算在短时间内是不可能的,必须另辟途径.观察题目发现,31999=32·31997,|-3|1998=3×31997,逆用乘法分配律,前三项可以凑成含有0的乘法运算,此题即可求出.
解:原式=32×31997-5×3×31997+6×31997+1999×(-1)
=31997(9-15+6)-1999
=31997×0-1999
=-1999
说明:“0”乘以任何数等于0.因为运用这一结论必能简化数的计算,所以运算中,能够凑成含“0”因数时,一般都凑成含有0的因数进行计算.当算式中的数字很大或很繁杂时,要注意使用这种“凑0法”.
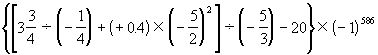
例4
分析:
说明:对于有理数的混合运算,一定要按运算顺序进行运算,注意不要跳步,每一步的运算结果都应在算式中体现出来,此题(1)要注意区别小括号与绝对值的运算;(2)要熟练掌握乘方运算,注意(-0.1)3,-0.22,(-2)3,-32在意义上的不同.
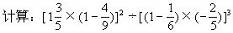
例5计算:
分析:含有括号的混合运算,一般按小、中、大括号的顺序进行运算,括号里面仍然是先进行第三级运算,再进行第二级运算,最后进行第一级运算.
