设为首页
加入收藏
教学设计示例
一、教学目标
1.了解平行线的概念,理解学过的描述图形形状和位置关系的语句.
2.掌握平行公理及推论,会用三角尺和直尺过已知直线外一点画这条直线的平行线;会用学过的几何语句描述简单的图形和根据语句画图.
3.通过画平行线和按几何语句画图的题目练习,培养学生画图能力.
4.通过平行公理推论的推理,培养学生的逻辑思维能力和进行推理的能力.
二、学法引导
1.教师教法:尝试法、引导法、发现法.
2.学生学法:在教师的引导下,尝试发现新知,造就成就感.
三、重点、难点及解决办法
(-)重点
平行公理及推论.
(二)难点
平行线概念的理解.
(三)解决办法
通过引导学生尝试发现新知、练习巩固的方法来解决.
四、教具学具准备
投影仪、三角板、自制胶片.
五、师生互动活动设计
1.通过投影片和适当问题创设情境,引入新课.
2.通过教师引导,学生积极思维,进行反馈练习,完成新授.
3.学生自己完成本课小结.
六、教学步骤
(-)明确目标
掌握平行公理及其推论的应用,能画出平行线,会用几何语句描述图形的画法,培养学生的逻辑推理能力.
(二)整体感知
以情境引出课题,以生活知识和已有的知识为基础,引导学生学习平行公理及其推论,并以变式训练强化和巩固新知.
(三)教学过程
创设情境,引出课题
师:前面我们学习了两条直线相交的情形,下面清同学们看投影片.观察投影片中的铁路桥梁以及立在路边的三根电线杆,再请同学们观察黑板相对的两条边和横格本中两条横线,若把它们向两方延长,看成直线,它们还是相交直线吗?
学生齐声答:不是.
师:因此,平面内的两条直线除了相交以外,还有不相交的情形,这就是我们本节所要研究的内容.(板书课题)
[板书]24.平行线及平行公理
【教法说明】通过具体的实物和实物的图形,使学生建立起不相交的感性认识,同时在头脑中初步形成平行线的图形.
探究新知,讲授新课
师:在我们生活的周围,平面内不相交的情形还有许多,你能举例说明吗?
学生:窗户相对的棱,桌面的对边,书的对边……
师:我们把它们向两方无限延伸,得到的直线总也不会相交.我们把这样的直线叫做平行线.
[板书]在同一平面内,不相交的两条直线叫做平行线.
【教法说明】初中几何必须重视几何概念的直观性,所以让学生多观察实物形状,在形成了感性认识的基础上,认识数学名称,让学生从中感受到数学的实在性,减少抽象性.
教师出示投影片(课本第74页图2–17).
师:请同学们观察,长方体的棱
与
无论怎样延长,它们会不会相交?
学生:不会相交.
师:那么它们是平行线吗?
学生:不是.
师:也就是说平行线的定义必须有怎样的前提条件?
学生:在同一平面内.
师:谁能说为什么要有这个前提条件?
学生:因为空间里,不相交的直线不一定平行.
【教法说明】通过教师的引导,学生观察分析,自己得出结论,从而使学生切实体会到平行线的“在同一平面内”这个前提条件的重要性.
教师在黑板上给出课本第73页图2–16.
讲解:平行用符号“
”表示,如图直线
与
是平行线记作“
”(或
)读作“
平行于
”(或
平行于
)也就是说平行是相互的.
【教法说明】这里教师不必赘述,让学生清楚平行线符号表示、读法和记法就可以了,对于平行线的图形经常会使用变式图形,不要总是横平竖直的,以防形成思维定式.
师:请同学们思考,在同一平面内任意画两条不同的直线,它们的位置关系只能有几种情况,试画一画,同桌的可以讨论.
学生:两种.相交和平行.
由此师生共同小结:在同一平面内,两条直线的位置关系只有相交、平行两种.
尝试反馈,巩固练习(出示投影)
1.判断正误
(1)两条不相交的直线叫做平行线.( )
(2)有且只有一个公共点的两直线是相交直线.( )
(3)在同一平面内,不相交的两条直线一定平行.( )
(4)一个平面内的两条直线,必把这个平面分为四部分.( )
2.下列说法中正确的是( )
A.在同一平面内,两条直线的位置关系有相交、垂直、平行三种.
B.在同一平面内,不垂直的两直线必平行.
C.在同一平面内,不平行的两直线必垂直.
D.在同一平面内,不相交的两直线一定不垂直.
学生活动:学生回答,并简要说明理由.
【教法说明】这组练习旨在巩固学生掌握平行线定义及平面内两直线的位置关系,通过判断(1)、(3)题让学生进一步体会平行线的“在同一平面内”的前提条件,通过判断(2)、(4)题和选择题使学生对两直线位置关系,尤其是对垂直是相交的一种特殊情况有更深层的理解.
师:我们很容易画出两条相交直线,而对于平行线的画法,我们在小学就学过用直尺和三角板画,下面清同学在练习本上完成下面题目(投影显示).
已知直线
和
外一点
,过点
画直线
,使
.
师:请根据语句,自己画出已知图形.
学生活动:学生在练习本上画出图形.
师:下面请你们按要求画出直线
.
学生活动:学生能够很快完成,然后请一个学生在黑板上板演,其他学生观察他的画图过程是否正确,然后师生一起订正.
注意:(1)在推动三角尺时,直尺不要动;
(2)画平行线必须用直尺三角板,不能徒手画.
【教法说明】画平行线是几何画图的基本技能之一,在以后的画图中常常会遇到,要求学生使用工具,不仅能养成良好的学习习惯,也能培养学生严谨的学习态度.
尝试反馈,巩固练习(出示投影).
1.画线段
,画任意射线
,在
上取
、
、
三点,使
,连结
,用三角板画
,
,分别交
于
、
,量出
、
、
的长(精确到
).
2.读下列语句,并画图形
(1)点
是直线
外的一点,直线
经过点
,且与直线
平行.
(2)直线
、
是相交直线,点
是直线
、
外的一点,直线
经过点
与直线
平行与直线
相交于
.
(3)过点
画
,交
的延长线于
.
学生活动:学生在练习本上按要求画图,并由两个学生在黑板上画第2题的(2)、(3)题,学生画完后教师给出第1题的图形(提前做好的投影片),请学生回答测量的结果,然后共同订正第2题的(2)、(3)题.
【教法说明】这组练习重点巩固平行线的画法及理解描述图形形状和位置关系的语句,能够根据语句画出正确图形,注意要求学生用准确的几何语言反映图形,同时真正理解几何语言才能画好图形.
师:我们练习了过直线外一点画已知直线的平行线,请同学们回忆,过直线外一点能不能画直线的垂线,能画几条?
学生活动:学生思考并回答,能画,而且只能画一条.
师:下面请你试一试,前面我们完成的过直线外一点与已知直线平行的直线可以画几条,想一想,你能得到什么结论?
学生活动:学生动手操作,思考后总结出结论:经过直线外一点,有且只有一条直线与已知直线平行.
师:我们把这个结论叫平行公理,教师板书.
【板书】平行公理:经过直线外一点,有且只有一条直线与这条直线平行.
【教法说明】学生对垂线的惟一性比较熟悉,通过对惟一性的回顾,学生能够用类比的思想,把自己动手得到的实验结论采用准确的几何语言描述出来,这样不仅培养了学生善于类比的思想,同时也训练了学生语言的规范性.
师:过直线外一点,能画这条直线的惟一平行线,若没有条件“过直线外一点”,问你能画已知直线的平行线吗?能画多少条?
学生:思考后,立即回答,能画无数条.
师:请同学们在练习本上完成.
(出示投影)
已知直线
,分别画直线
、
,使
,
.
学生活动:学生在练习本上完成.
师:请同学们观察,直线
、
能不能相交?
学生活动:观察,回答:不相交,也就是说
.
师:为什么呢?同桌可以讨论.
学生活动:学生积极讨论,各抒己见.
【教法说明】几何的学习不仅要求学生有较强的识图能力,而且要求学生有过硬的分析能力,也就是说理能力.初一几何课是几何课的起始课,从开始就让学生养成自己动手、动脑、思考、分析问题的习惯,即加强几何思维不惯的培养,这是个很重要的内容.
学生活动:教师让学生积极发表意见,然后给出正确的引导.
师:我们观察图形,如果直线
与
相交,设交点为
,那么会产生什么问题呢?请同学们讨论.
学生活动:学生在教师的启发引导下思考、讨论,得出结论.
师:同学们想得很好,因为
,
,于是过点
就有两条直线
、
都与
平行,根据平行公理,这是不可能的,这就是说,
与
不能相交,只能平行,由此我们得到平行公理的推论.
[板书]如果两条直线都和第三条直线平行,那么这两条直线也互相平行.
师:在同一平面内,不相交的两条直线是平行的,那么不相交的两条射线(或线段)也是平行的,对吗?为什么?
学生活动:学生思考,回答:不对,给出反例图形,
例如:如图1所示,射线
与
就不相交,也不平行.
师:同学们想一想,当我们说两条射线或线段平行时,实际上是什么平行才可以呢?
生:它们所在的直线平行.
尝试反馈,巩固练习(投影)
填空:∵
,
(已知),
∴________
_______( ).
学生活动:口答.
【教法说明】巩固平行公理推论的掌握,同时让学生清楚平行公理推论的符号语言,为今后进行推理论证打好基础.
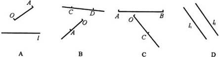
变式训练,培养能力(出示投影)
选择题
下列图形都不相交,哪一个平行( )
【教法说明】进一步加深学生对平行线的理解,尤其是平行的变式图形.
(四)总结、扩展
师:今天我们学习了平行线,知道了同一平面内两条直线位置关系只有相交、平行两种,完成下表:(出示投影)
学生活动:表格中的内容均由学生口答出来.
【教法说明】通过学生完成表格,不仅回顾本节所学知识,同时培养学生的归纳总结能力,使学生所学知识形成体系,从而更好地掌握知识.
八、布置作业
(一)必做题
课本第96页习题2.2A组第3题(1)、(2)题.
(二)思考题
1.能直接利用定义判断两条直线是否平行吗?
2.怎样才能判断两条直线是否平行呢?
3.阅读课本第76页,“读一读”的观察与实验,课下同学之间相互演示.
作业答案
3.

(1) (2)
九、板书设计